心理所研究發現精神分裂癥患者的P50可能是精神分裂癥患者認知障礙的有效生物標志物
執行功能、工作記憶、注意力和記憶方面的認知缺陷似乎是精神分裂癥的主要特征。然而,精神分裂癥患者認知障礙的病理生理機制尚不清楚。感覺門控可以對無關的感覺信息進行預篩選,在信息被轉移到更高階區域進行更精細的處理之前,可以抑制不相關的刺激以保護認知的完整性。這是大腦的一種適應良好的抑制功能。抑制機制和感覺門控通常通過條件-測試P50范式進行評估,其中成對的“click”刺激以500ms的間隔出現,引起大腦中的正極性反應,該反應發生在刺激開始后約50ms。在精神分裂癥患者中反復發現較高的P50門控率,提示重復刺激的抑制機制存在缺陷。然而,在精神分裂癥患者中,P50感覺門控和認知功能障礙之間的聯系仍然不清楚,在中國人群中對精神分裂癥患者進行P50感覺門控與認知功能障礙的研究還比較少。
中國科學院心理健康重點實驗室張向陽研究組近期開展的一項研究中,研究者從汕頭大學精神衛生中心招募了38名住院精神分裂癥患者和32名在性別、年齡和教育程度上與患者匹配的健康對照者。采用可重復神經心理狀態評定量表(RBANS)評定認知功能。采用條件-測試P50范式和事件相關電位(ERP)技術記錄P50成分。以此來探討精神分裂癥患者P50感覺門控與認知功能障礙的關系。
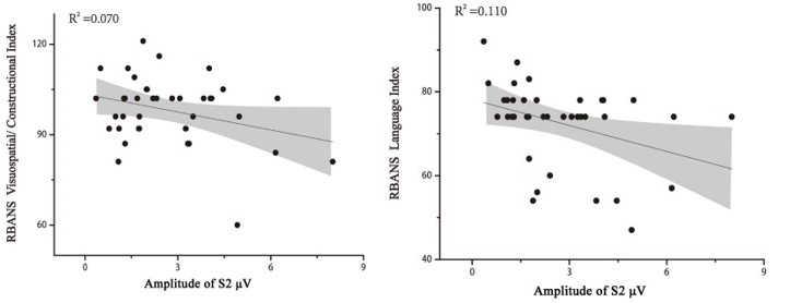
結果表明,與正常對照組相比,精神分裂癥患者存在廣泛的認知障礙,尤其體現在RBANS總分、語言和注意的分量表得分。精神分裂癥患者還存在著P50感覺門控缺陷,與健康對照組相比,慢性精神分裂癥患者的P50比值明顯升高,S1波幅顯著降低,S2波幅顯著升高。進一步研究發現,在精神分裂癥患者中,S1波幅與注意力和語言相關,S2波幅與視覺空間/結構和語言相關。這些結果沒有通過Bonferroni校正。研究結果提示,精神分裂癥患者的S1波幅和S2波幅可能與不同的認知領域有關。

圖1 精神分裂癥患者和健康對照組的模擬波形圖。
Click的開始時間為0ms。藍線為S1波形;粉紅線為S2波形。箭頭顯示P50成分的位置。正極性向下。

圖2 S1的振幅與語言(左)和注意(右)之間呈負相關

圖3 S2的振幅與視覺空間/構造(左)和語言(右)之間呈負相關
該研究表明,精神分裂癥患者的P50不同成分可能與精神分裂癥不同認知領域的缺陷有關,P50可能是精神分裂癥患者認知障礙的有效生物標志物。
該項研究受國家自然科學基金(81371477)支持。
研究結果已發表于Clinical Neurophysiology: https://doi.org/10.1016/j.clinph.2019.12.405
論文信息:
Luyao Xia, Dongmei Wang, Jiesi Wang, Hang Xu, Lijuan Huo, Yang Tian, Qilong Dai, Shuochi Wei, Wenjia Wang, Guangya Zhang, Xiangdong Du, Qiufang Jia, Xiaomin Zhu, Li Wang, Wei Tang, Xiang Yang Zhang, Association of cognitive and P50 suppression deficits in chronic patients with schizophrenia, Clinical Neurophysiology, DOI: 10.1016/j.clinph.2019.12.405
附件下載: