心理所研究通過手機日志數據探究抑郁與智能手機社交行為的關系
抑郁癥是一種常見的精神疾病,據世界衛生組織披露數據顯示,全球的抑郁患者已超過3億人,到2030年抑郁癥將成世界第一大負擔疾病。抑郁不僅會降低生活質量和工作效率,而且還會增加自殺率等。雖然抑郁癥可以通過抗抑郁藥、心理療法等多種方法治療,但只有不到一半的患者接受了正確治療。其中一個重要原因是抑郁癥診斷的困難。因此,研究更有效的方法識別抑郁癥狀就顯得非常重要。
近年來,智能手機的普及為通訊和人際互動等帶來了諸多便利,但它也降低了人們面對面社交的頻率。已有研究表明,與面對面社交行為相比,智能手機的社交行為可能影響人們從社會環境中獲得的情感支持的效果。尤其是抑郁癥患者可能會通過智能手機來擺脫現實生活中的負面情緒,但過度使用智能手機的行為又會進一步導致更多的焦慮、抑郁和睡眠問題等。
已有研究發現,自我報告的智能手機使用情況與客觀測量的智能手機使用情況沒有顯著相關。而基于智能手機的被動感知數據為研究身體、個體差異或心理健康提供了新的視角。中國科學院行為科學重點實驗室朱廷劭研究組的科研人員開展了一項研究,通過智能手機收集的日志數據,檢驗抑郁與智能手機社交行為之間的相關性。
該研究共招募120名日常生活中使用Android手機的用戶參與實驗,實驗時間為1個月。研究者使用自主開發的Android應用程序MobileSens作為數據獲取工具,該程序可記錄用戶在使用手機過程中的日志記錄數據。實驗結束后,用戶需進行流行病學研究中心抑郁量表(CES-D)的測試,并上傳手機使用日志數據。
研究者從智能手機使用的日志數據定義了8種傳統的通訊行為(打電話、接電話、發送短信、接收短信等)和3種社交應用的使用行為(微信、微博使用頻率和所有社交軟件的使用總頻率)。已有研究表明社交行為是改變個體晝夜節律的一個重要因素,而晝夜節律的變化也與抑郁情緒息息相關。同時,多項研究發現,與其他時段相比,抑郁癥患者的抑郁癥狀在上午更加嚴重。為了更深入地探究抑郁與智能手機社交行為的關系,研究者分別從全天、上午、下午和晚上四個時間段(全天:0:00-24:00;上午:6:00-12:00; 下午:12:00-18:00;晚上:18:00-6:00)對智能手機社交行為進行分析。研究者根據流行病學研究中心抑郁量表得分(以16分為分界)將被試分為抑郁癥狀組和非抑郁癥狀組。
研究分析發現,在傳統通訊行為上,抑郁癥狀組在全天和下午接到聯系人電話的頻率顯著低于非抑郁癥狀組(F1,116=3.995, P=.048,η2=0.033; F1,116=5.278, P=.02, η2=0.044)。在社交軟件使用上,抑郁癥狀組在全天和晚上使用社交軟件的頻率顯著高于非抑郁癥狀組(F1,116=6.801, P=.01, η2=0.055; F1,116=6.902, P=.01, η2=0.056)。
表1. 非抑郁癥狀組與抑郁癥狀組的智能手機社交行為差異

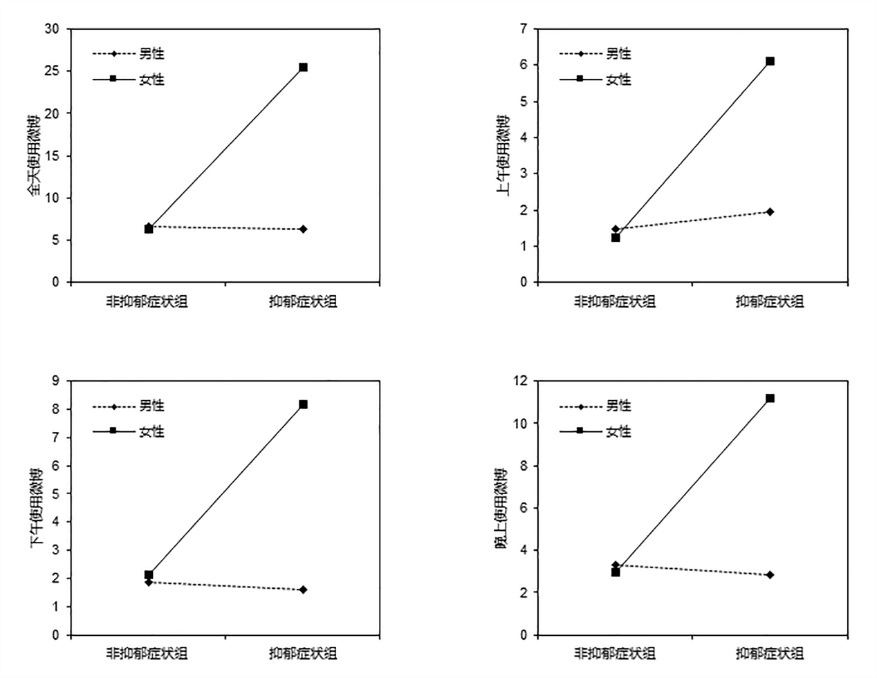
對于微博的使用,結果顯示無論在一天中的任何時段,抑郁癥狀的主效應、性別的主效應,以及抑郁癥狀與性別的交互效應均呈顯著相關。簡單效應分析顯示,抑郁癥狀組的女性用戶的微博使用頻率高于男性(全天:F1,116=11.744,P=.001,η2=0.092; 上午:F1,116=9.105,P=.003,η2=0.073; 下午:F1,116=14.224,P<.001,η2=0.109; 晚上:F1,116=9.052,P=.003,η2=0.072)。

圖1 微博使用的交互圖
該研究通過手機的日志數據,探究抑郁與智能手機社交行為之間的關系,結果表明非抑郁癥狀組和抑郁癥狀組在智能手機社交行為上存在差異,且抑郁癥狀組的用戶在智能手機社交行為上存在性別差異。具體來說,與非抑郁癥狀組的用戶相比,抑郁癥狀組的用戶接到來自聯系人的電話更少(全天和下午),使用社交應用程序的頻率更高(全天和晚上)。抑郁癥狀組中女性用戶的微博使用頻率在各時間段均高于男性(全天、上午、下午、晚上)。該研究增加了人們對抑郁與智能手機社交行為關系的認識,為研究更有效的抑郁識別方法提供基礎,也為數據驅動的心理測量方法提供了新的視角。
該研究成果已被國際期刊JMIR Mhealth Uhealth 錄用并在線發表:
Wang Y, Ren X, Liu X, Zhu T. Examining the Correlation Between Depression and Social Behavior on Smartphones Through Usage Metadata: Empirical Study. JMIR Mhealth Uhealth 2021;9(1):e19046.
附件下載: