心理所研究揭示傳統太極拳的正念成分
正念是一種源于禪修的心理訓練方法,具有悠久的歷史。這一方法強調對當下有意識的覺知和不帶判斷的思考。已有研究表明,正念訓練能緩解個體負性情緒、降低應激水平,改善心理健康狀況。傳統觀念認為,太極拳中含有明顯的正念成分。然而,鮮有研究對太極拳的正念成分進行科學驗證。
近日,中國科學院心理研究所魏高峽副研究員帶領團隊開展了一項追蹤實驗研究。該研究發現,8周包含內在感受性提升的太極拳鍛煉能顯著提高個體正念水平,并且觀察到這種正念水平的改善效應在太極拳鍛煉結束16周后仍然存在。
研究招募了61名健康成年人被試,分為太極拳組和不參與任何鍛煉的對照組。太極拳組被試進行了每周3次,每次1小時,持續8周的簡化14式太極拳學習。在干預開始前、結束時以及鍛煉結束16周后,通過《五因素正念量表》及《多維度內在感受性量表》測量所有被試的正念及內在感受性水平。
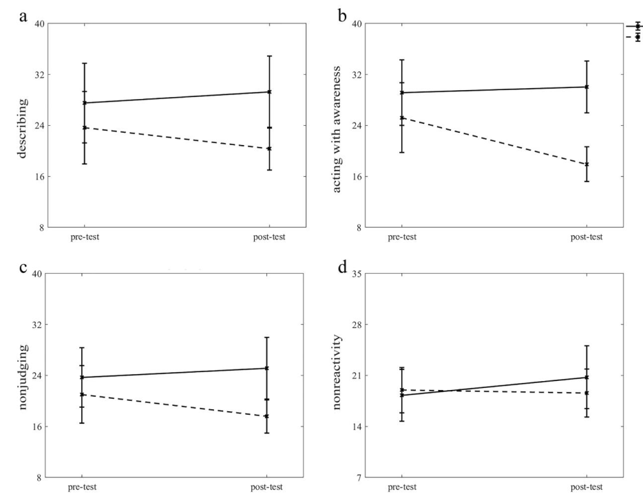
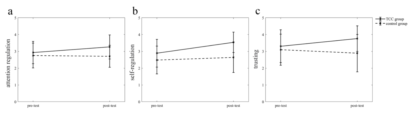
結果發現,太極拳鍛煉者的正念水平(包括描述、覺知行動、不判斷及不反應)表現出顯著提升,且高于對照組被試(圖1)。在內在感受性方面,鍛煉者與自我調控相關的維度分數(包括注意力調試、自我調試及信任)也表現出顯著的提升(圖2)。太極拳鍛煉可能通過增強個體內在感受性的覺知,提高了其正念水平。此外,追蹤研究表明,在鍛煉結束16周后,太極拳組被試的正念水平在描述、覺知行動、不判斷維度以及內在感受性的信任維度分數上仍顯著高于對照組。

圖1 八周太極拳鍛煉改善鍛煉者的正念水平

圖2 八周太極拳鍛煉改善鍛煉者的內在感受性水平
目前,太極拳技術正逐漸被作為一種替代醫學的手段應用到臨床干預中。該研究關于太極拳和正念關系的探討,對其在情緒障礙等身心疾病中的應用和推廣具有重要的啟示意義。
該系列研究受國家自然科學基金 (31671163)和中國科學院心理研究所自主部署項目的資助。
相關研究論文已發表于Mindfulness:
Chen, L.-Z., Dai, A.-Y., Yao, Y., Si, R., Hu, Z., Ge, L., Du, X., Li, A., & Wei, G.-X. (2021). Effects of 8-Week Tai Chi Chuan Practice on Mindfulness Level. Mindfulness.
https://doi.org/10.1007/s12671-021-01622-8
附件下載: