心理所嚴超贛研究組研發可實用的阿爾茨海默病腦影像深度學習判別器
近日,中國科學院行為科學重點實驗室嚴超贛研究組在數據科學領域頂級期刊Journal of Big Data (IF=10.835)在線發表題為《基于85,721 個樣本構建可實用的阿爾茨海默病腦影像深度學習判別器》的論文。
磁共振成像 (Magnetic Resonance Imaging, MRI) 是一種非侵入性的、無輻射的成像技術,被廣泛的應用于腦損傷和腦腫瘤等疾病的臨床診斷上。然而, 針對阿爾茨海默病 (Alzheimer’s Disease, AD) 等無法直接依靠人眼判別的腦疾病,基于MRI的輔助診斷進展甚微。這是因為絕大多數AD分類算法使用了較少的訓練數據,且數據往往來自少數幾個站點,這意味著分類器在應用于其他陌生掃描儀/人群時泛化性和準確率會大大下降。為了解決這一問題,嚴超贛研究組基于遷移學習框架,使用一個樣本量和多樣性前所未有的磁共振腦影像數據集,建立了一個可實用的基于磁共振結構影像的AD分類器。
構造泛化性好的深度學習模型需要有大量的訓練數據。嚴超贛研究組通過申請公開數據集,匯集了來自超過217個站點/掃描儀的50,876名參與者的85,721次MRI掃描影像,是腦影像領域樣本量最大的研究之一。隨后,研究組使用深度卷積神經網絡構建了基于灰質厚度和灰質體積指標圖的性別分類器,并提出了“腦性別”的概念。該性別分類器在跨數據集交叉驗證上達到了94.9%的準確率,即模型可以憑借灰質體積和灰質密度圖以94.9%的正確率預測來自任意站點任意掃描儀任意被試的性別。
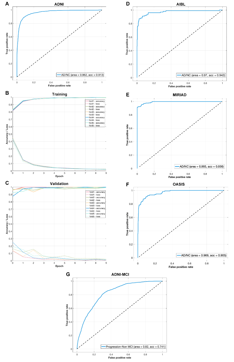
隨后,以性別分類器為基準模型,研究人員基于遷移學習在Alzheimer’s Disease Neuroimaging Initiative (ADNI)數據集上構造了AD分類器,使其在跨站點的交叉驗證中取得了90.9%的正確率,并在三個獨立數據集上分別取得了94.5%、93.6%、91.1%的正確率,表現出很強的實用性。直接使用該分類器測試輕度認知障礙(mild cognitive impairment, MCI)患者的結構影像樣本,進展為AD的MCI患者被預測為AD的概率(65.2%),是未進展的MCI患者(20.6%)的3倍以上。此外, AD分類器的預測分數顯示出與疾病嚴重程度的顯著相關,具有在臨床篩查中實用的潛力。相關性別分類器和AD分類器已被部署到一個在線測試網站http://brainimagenet.org,感興趣的研究者只需要上傳原始數據或者預處理好的灰質體積和灰質密度圖,即可得到相應的腦性別或者AD判別分數(現階段該判別分數僅用于科研用途,不作為臨床診斷)。研究代碼和模型已經開源共享在https://github.com/Chaogan-Yan/BrainImageNet,預處理數據已共享在http://rfmri.org/BrainImageNetData ,并即將上傳至心理科學數據銀行。
未來,嚴超贛研究組將繼續探索“腦性別”概念在性別群體及腦疾病群體上的應用,并進一步提高AD分類器預測疾病進展的能力。該分類器有望能夠使無創無輻射普及率高的磁共振影像,輔助或替代有創有輻射的正電子發射掃描(positron emission tomography, PET)檢查,提高AD的早期診斷效率,創造更大的社會價值。
該研究第一作者為心理所魯彬博士,通訊作者為嚴超贛研究員,受到科技創新2030-腦科學與類腦研究項目(2021ZD0200600),國家重點研發計劃(2017YFC1309902)、國家自然科學基金(82122035,81671774, 81630031)、中科院十三五信息化專項(XXH13505-03-213)、中國科學院重點部署項目(ZDBS-SSW-JSC006)、北京市科技新星(Z191100001119104)、中科院心理所科研基金(E2CX4425YZ)等的資助。

圖1. 阿爾茨海默癥分類器遷移學習流程圖和跨站點/跨數據集交叉驗證示意圖

圖2. 阿爾茨海默病分類器在ADNI數據集跨站點交叉驗證、三個獨立樣本驗證和應用于輕度認知障礙樣本的表現
論文信息:
Lu B, Li H-X, Chang Z-K, Li L, Chen N-X, Zhu Z-C, et al. A practical Alzheimer’s disease classifier via brain imaging-based deep learning on 85,721 samples. Journal of Big Data. 2022;9(1). DOI: https://doi.org/10.1186/s40537-022-00650-y
參考文獻:
1.Cai XL, Xie DJ, Madsen KH, Wang YM, B?gemann SA, Cheung EF, et al. Generalizability of machine learning for classification of schizophrenia based on resting‐state functional MRI data. Hum Brain Mapp. 2020;41(1):172-84.
2.Kermany DS, Goldbaum M, Cai W, Valentim CC, Liang H, Baxter SL, et al. Identifying medical diagnoses and treatable diseases by image-based deep learning. Cell. 2018;172(5):1122-31.
3.Yosinski J, Clune J, Bengio Y, Lipson H, editors. How transferable are features in deep neural networks. Adv Neural Inf Process Syst; 2014.
附件下載: