心理所研究發現生物運動情緒信息的多水平加工機制
知覺與解讀他人的情緒對個體的社會交往和生存進化具有重要意義。面孔是最為常見的傳遞著他人內在情緒狀態的非言語社會線索。除面孔外,生命體的運動(biological motion,BM)也傳遞著關于他人內在狀態的重要線索。即便當生物運動是由極度簡化的、附著在頭部和關節處的點光源運動表達時,人們也能夠準確地識別出其中的情緒信息。然而,目前較少研究探究生物運動情緒信息的加工機制。
瞳孔大小不依賴于外在的任務,能夠自動化地揭示相關加工過程并實時反映當下的認知狀態。中國科學院心理研究所蔣毅研究組的王莉研究員最近采用這一指標,揭示了生物運動情緒信息的多水平加工機制及其與自閉特質的關聯。研究者采用被動觀看范式結合眼動記錄技術,并收集了個體的自閉特質分數,通過4個實驗考察了生物運動情緒信息對瞳孔反應的調節及其與自閉特質的相關。
在實驗1a-1b中,研究者在屏幕中央呈現了快樂、悲傷或中性的正立生物運動,被試需要觀看這一刺激,同時眼動儀會記錄被試的瞳孔反應。在實驗2中,研究者呈現了倒立的生物運動作為控制刺激,以排除低水平特征的干擾。進一步,研究者考察了局部運動特征在生物運動情緒知覺中的作用。實驗3關注去除重要局部生命特征(加速度)的非生物運動誘發的瞳孔反應。實驗 4則將生物運動打亂,探討了僅保留局部運動特征的打亂生物運動攜帶的情緒信息能否對瞳孔反應產生調節。

圖1. 實驗1刺激示意圖與流程圖
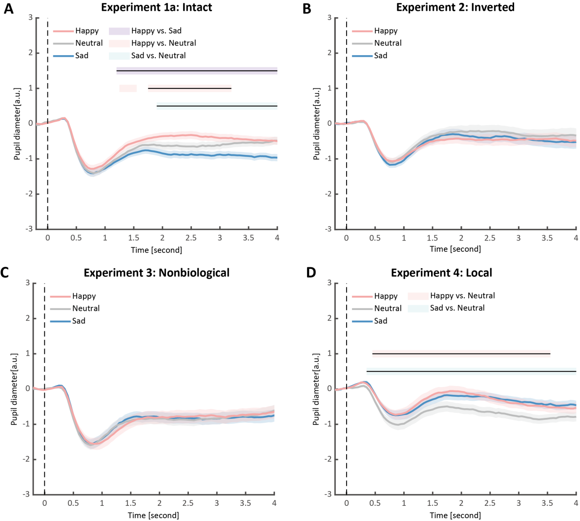
實驗1a發現,相較中性生物運動,快樂生物運動誘發更大的瞳孔反應,這一效應從 1750 毫秒持續到 3200 毫秒。與之相反,相較中性生物運動,悲傷生物運動誘發的瞳孔反應顯著更小,這一效應從 1850 毫秒持續到刺激消失。而快樂的生物運動相較悲傷生物運動能夠在較長的時窗內誘發更強的瞳孔反應(1200 毫秒-4000 毫秒)。值得注意的是,在實驗1中發現的快樂較悲傷的瞳孔放大效應與個體自閉特質呈顯著相關。為了進一步驗證這一相關,實驗1b重復了實驗1a并增加了一次測試(間隔至少一周)以檢驗重測信度,結果發現了較高的重測信度。此外,在第二次測試時,快樂相較中性生物運動的瞳孔放大效應、悲傷相較中性的瞳孔縮小效應分別與自閉特質呈顯著相關。這表明,高自閉傾向的個體在生物運動情緒的自動化知覺能力上存在一般性缺損。
在實驗2中,當生物運動倒置時,研究者沒有發現情緒對瞳孔大小的調節。此外,在實驗3中,當生物運動的局部運動特征被剝奪時,這一情緒調節也不存在。在實驗4中,研究者發現僅保留局部運動特征的生物運動的情緒信息能夠調節瞳孔大小。快樂和悲傷生物運動均能誘發相較中性更強的瞳孔反應,且這一效應從較早的時間點就已發生(快樂 vs 中性:450 毫秒 -3550 毫秒;悲傷 vs 中性:350 毫秒 -4000 毫秒),而快樂與悲傷之間卻不存在差異。

圖2. 實驗1-4結果圖

圖3. 實驗1中瞳孔調節與自閉特質分數的相關
總的來說,該研究揭示出生物運動存在多水平情緒加工機制:完整生物運動的情緒信息以精細的方式對瞳孔大小產生調節,而局部生物運動的情緒信息則以快但較為粗糙的方式對瞳孔大小產生調節。從功能性角度分析,這一分離的情緒加工機制可能以不同的方式發揮作用:前者作為一種快速檢測機制,自動捕捉由生命體傳遞的情緒信息,而無需進行詳細的分析;后者則通過對其運動模式和整體形狀的細致分析來進行更具體的情緒識別。值得注意的是,在完整生物運動中觀察到的情緒調節與個體自閉特質成顯著負相關,這為情緒相關瞳孔調節效應在社會認知障礙早期診斷中的應用提供了實驗證據。
該研究獲得了科技創新2030-“腦科學與類腦研究”重大項目、國家自然科學基金、中國科學院創新交叉團隊項目等項目的支持。
相關研究成果已在線發表于eLife。心理所博士生袁甜(已畢業)為論文第一作者,心理所王莉研究員為通訊作者。
論文信息:Yuan, T., Wang, L.*, & Jiang, Y. (2024). Multi-level processing of emotions in life motion signals revealed through pupil responses. eLife, 12, RP89873. https://doi.org/10.7554/eLife.89873.3
附件下載: