心理所研究揭示童年環境嚴酷性和不確定性對虛假健康信息分辨力的不同作用
在互聯網高速發展的信息時代,虛假健康信息(health misinformation)的傳播對個人與社會都帶來了嚴重的負面影響:虛假健康信息誤導人們的判斷、侵蝕公眾對醫療體系的信任,甚至可能導致錯誤的健康決策。人們如何分辨健康信息的真偽?已有研究探索了情緒、認知風格、人格等因素如何影響對虛假健康信息的分辨力;然而,“分辨信息真偽的能力是如何發展的”這一問題尚無充分的研究。為回答這一問題,中國科學院心理研究所饒儷琳研究組開展了一項研究,探究童年環境對虛假健康信息分辨力的影響及其心理機制。
以生命史理論為指導的維度模型(dimensional model)區分了童年環境的兩個重要特征:嚴酷性與不確定性。嚴酷性與不確定性可以分別被視為環境中資源可用性的均值和變異程度。其中,嚴酷性指由于外部環境因素導致的個體發病率和死亡率的高低程度,在實證研究中以個體的家庭社會經濟地位作為主要的測量指標;而不確定性則指嚴酷性水平隨時間、空間推移的變化程度,往往通過家庭環境中對父母及兒童產生直接影響的重大變化進行測量,如居住場所、父母職業、婚姻狀況、家庭成員、父母教養情況等的變動頻繁程度。
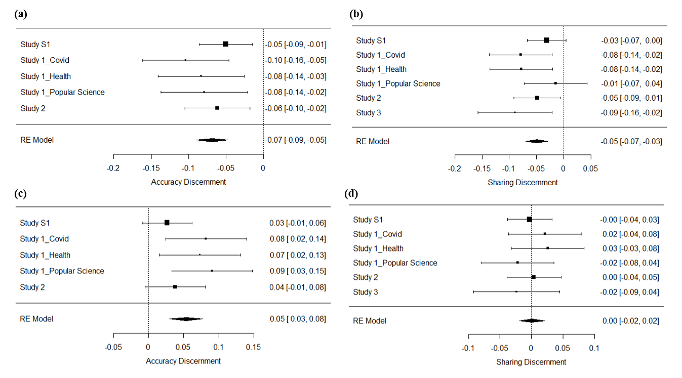
中國科學院心理研究所饒儷琳研究組的科研人員通過四項研究發現,童年環境的嚴酷性和不確定性對虛假健康信息的分辨力(包括準確性判斷和分享決策層面的分辨力,以下簡稱“判斷分辨力”和“分享分辨力”)起到不同影響。具體而言,童年環境的不確定性與更低的判斷分辨力和分享分辨力相關,而童年環境的嚴酷性則與更高的判斷分辨力相關(見圖1)。進一步分析顯示,童年環境的嚴酷性與不確定性對分辨力的不同作用可以通過分析式思維傾向來解釋。個體童年環境的不確定性越高,其分析式思維傾向越低,進而導致分辨力的下降;而嚴酷性程度越高,分析式思維傾向越強,進而促進分辨力的提升(見圖2)。

圖1. (a)童年不確定性與判斷分辨力;(b)童年不確定性與分享分辨力;(c)童年嚴酷性與判斷分辨力;(d)童年嚴酷性與分享分辨力之間關系的效應量及95%置信區間

圖2. 童年環境不確定性、嚴酷性通過分析式思維傾向影響人們對真、假健康信息的辨別力
研究結果為環境對個體影響的適應性模型(adaptation model)提供了支持性證據。以往有關童年環境與認知發展的研究多持損害模型(deficit model)視角,認為童年時期的不利環境因素對個體認知能力產生整體性的負面影響。然而,本研究的發現表明,在不利環境下成長的個體可能會在特定領域發展出適應性的能力,使其在面對與其生態相關(ecologically relevant)的情境時表現出更好的認知能力。研究發現有助于為制定更具針對性的虛假信息干預策略提供參考,以減少人們對健康謠言的相信與傳播,降低虛假信息對公眾的負面影響。
研究受到國家自然科學基金(72371237)、北京市社會科學基金青年學術帶頭人項目(24DTR065)和教育部人文社會科學項目(23YJCZH104)的資助。
研究成果已發表于Social Science & Medicine。心理所在讀博士生張思琦為論文第一作者,饒儷琳研究員為通訊作者。論文合作作者包括心理所博士研究生李明暉(已畢業)、心理所在讀碩士生李玉楚。
論文信息:Zhang, S.-Q., Li, M.-H., Li, Y.-C., & Rao, L.-L. Effects of childhood environments on the discernment of health misinformation. Social Science & Medicine ?2025, 380, 118179. https://doi.org/10.1016/j.socscimed.2025.118179
附件下載: