心理所研究揭示首發精神分裂癥患者的葡萄糖紊亂、認知損傷和白質異常
8月13日,中國科學院心理研究所科研人員的一項研究成果在《分子精神病學》(Molecular Psychiatry)上發表。該項研究成果揭示了在首次發病的精神分裂癥患者中,葡萄糖代謝紊亂與白質連接異常之間的交互作用及其認知功能損傷的關系。
一直以來,精神分裂癥的診斷依靠的都是癥狀學的標準,即是否出現幻覺、妄想等陽性癥狀和情感淡漠等陰性癥狀。但越來越多的研究表明,精神分裂癥患者在代謝、腦功能、認知行為等多方面也表現出異常,如糖代謝、白質(white matter, WM)連接和神經認知功能等。
中國科學院心理健康重點實驗室的張向陽研究員等在Molecular Psychiatry上發表的題為Glucose disturbances, cognitive deficits and white matter abnormalities in first-episode drug-naive schizophrenia的研究報告即對這三個重要指標間的聯系進行了探究。
過去研究發現精神分裂癥患者伴發II型糖尿病(type 2 diabetes mellitus, T2DM)的風險顯著高于常人,即使是首次發病、從未服藥(first-episode drug-na?ve)的病人也是如此,這說明精神分裂癥這一疾病本身與糖代謝的紊亂相關,而非受到藥物的影響。由于認知衰退(cognitive impairments)在精神分裂癥和II型糖尿病患者中都廣泛存在,自然地,當精神分裂癥患者伴發葡萄糖代謝異常時,其認知衰退也會更加嚴重。另外,白質連接的中斷(WM disconnectivity)也被證明精神分裂癥患者的癥狀可能與認知衰退有關,且葡萄糖代謝的紊亂也可能會影響大腦的白質發生變化。鑒于糖代謝、白質連接、認知衰退三個層次間的彼此關聯較為明晰,但并未有研究綜合考慮三方面的交互作用,故該研究采用首次發病的精神分裂癥患者進行進一步探究。
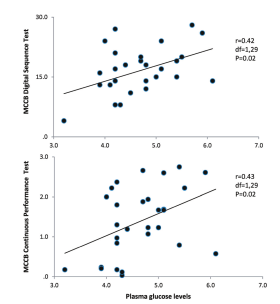
該研究發現,與正常人相比,首次發病的精神分裂癥患者的空腹血糖和胰島素水平更高、使用MCCB (MATRICS Consensus Cognitive Battery)測量出的認知表現更差,且左側和右側胼胝體(left and right corpus callosum)、上縱束(superior longitudinal fasciculus)、后丘腦輻射(posterior thalamic radiation)、輻射冠(corona radiata)五個腦區的白質各向異性值(fractional anisotropy, FA)普遍降低。其中,FA值是使用擴散張量成像(diffusion tensor imaging, DTI)反映白質纖維連接性的一個指標。相關分析結果證實了患者的葡萄糖水平與其在MCCB中數字序列測試(Digital Sequence Test)和持續操作測試(Continuous Performance Test)的成績呈正相關,同時也與其后丘腦輻射和左側胼胝體的FA值呈負相關。而多元回歸分析的結果表明,葡萄糖水平和左側胼胝體、縱束和放射冠FA值的交互作用對簡短視覺記憶測試(Brief Visuospatial Memory Test)有顯著貢獻,而葡萄糖水平與左側胼胝體和縱束(longitudinal fasciculus)FA值的交互作用則分別與迷宮測驗(MAZES)和連線測驗(Trail Making A Test)的成績相關聯。

精神分裂癥患者的血漿葡萄糖水平與MCCB數字序列測試(Digital Sequence Test)和持續操作測試(Continuous Performance Test)的成績呈正相關

精神分裂癥患者(SZ)FA值顯著低于正常對照組(HC)的相關腦區(A圖)
精神分裂癥患者的血漿葡萄糖水平與后丘腦輻射(posterior thalamic radiation)和扣帶回(cingulum)的FA值分別呈現負相關(B圖)
總而言之,在精神分裂癥發作的早期階段就已經發生葡萄糖代謝紊亂、認知功能損傷,以及普遍的白質結構異常,并且葡萄糖代謝紊亂與白質連接異常之間的交互作用可能是導致患者認知功能損傷的重要原因。這一發現支持了精神分裂癥的神經發育假說,可為揭示精神分裂癥的發病機理與認知損傷的生物學機制提供啟發,并幫助我們在代謝、腦功能、認知行為等多個水平上對精神分裂癥有更加整合、全面的理解。
該研究受國家自然科學基金(81371477, 61533006,U1808204, 61806042),四川省科技廳項目(2017JY0094)和中國科學院心理健康重點實驗室提供資金支持。
文章信息:
Zhang, X., Yang, M., Du, X., Liao, W., Chen, D., Fan, F., . . . Chen, H. (2019). Glucose disturbances, cognitive deficits and white matter abnormalities in first-episode drug-naive schizophrenia. Molecular Psychiatry.
附件下載: