心理所研究發現多領域綜合干預能提升認知障礙高風險老年人的認知功能
隨著我國人口老齡化程度的不斷加深,老年癡呆的問題越來越困擾著老年人群體。目前尚缺乏治療老年癡呆的特效藥物,且針對認知障礙的非藥物干預方法單一。因此,如何維持和促進老年人的認知功能,從而延緩和預防老年癡呆,是我國當前面臨的重大挑戰。
最近的研究發現,約有35%至55%的癡呆病例可以通過消除潛在可改變的風險因素(如低教育程度、高血壓、肥胖、缺乏體育活動、抑郁和社會孤立等)來預防。這些風險因素涵蓋認知、飲食健康、體育鍛煉、心理狀態等多個方面,為認知障礙的多領域干預提供了思路。目前,歐洲已經完成了幾項大型的癡呆預防多領域干預研究,但這些多領域干預研究在提高認知能力或減少癡呆發生率方面的效果尚無一致結論。因此,雖然觀察性研究提示了多領域干預的潛力,仍然有必要開展更多的干預性研究來證實其有效性。特別值得注意的是,中國目前還沒有類似的干預研究報道。
中國科學院心理健康重點實驗室老年心理研究中心李娟研究組在北京開展了一項基于社區的多領域干預的群組隨機對照試驗,旨在改善認知高風險老年人的認知能力。通過和朝陽區疾控中心合作,研究組在北京市朝陽區10個社區篩查出60歲及以上的認知高風險老年人209名,以社區為單位隨機分為干預組和對照組,干預組的老年人接受為期9個月包含冥想、認知訓練、運動和營養指導的多領域干預(具體干預設計見圖1),對照組沒有接受任何特殊處理。

圖1. 多領域干預方案
研究分別在干預前、干預結束后即刻和1年后(1年隨訪)通過7項認知測試(簡易精神狀態檢查量表MMSE、蒙特利爾認知量表MoCA、聽覺語言學習測驗、配對聯想學習測驗、連線測驗、數字廣度倒背測驗、言語流暢性測驗)測量了被試認知能力的改變,并考察了被試主觀認知能力(AD8、前瞻回溯記憶量表、記憶控制感量表)、積極和消極情感體驗(生活滿意度量表、幸福感量表、老化態度、流調中心用抑郁量表CES-D、廣泛性焦慮障礙量表GAD-7、UCLA孤獨感量表)、身體活動(老年人體力活動量表PASE)和飲食習慣(飲食習慣問卷)的變化。
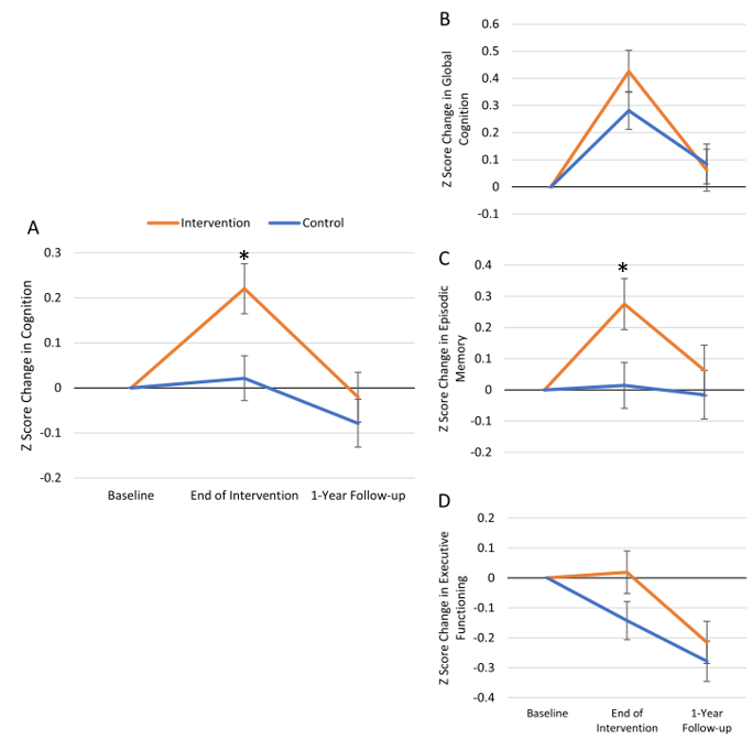
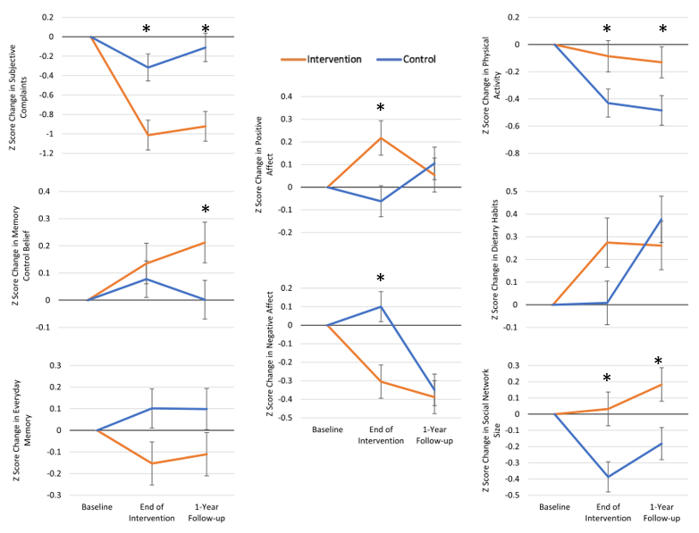
混合線性模型結果顯示,和對照組相比,干預后干預組的認知能力明顯增強(圖2),情節記憶能力(圖2)、主觀認知能力、情感體驗和生活方式都更好(圖3)。這些結果證實了多領域綜合干預的有效性。

圖2.干預組和對照組在認知能力(7項認知測驗的綜合,左A)、整體認知(MMSE和MoCA測驗的綜合,右B)、情節記憶(右C)和執行功能(右D)上隨時間的變化。

圖3.干預組和對照組在主觀認知能力(左列)、情感體驗(中列)和生活方式因素(右列)上隨時間的變化
該研究是我國首個基于城市社區的,旨在預防和延緩認知下降的多領域干預研究,研究不僅發現9個月的干預能夠顯著提升干預組老年人的認知水平、情感體驗以及改善老年人的生活習慣,更為我國未來預防認知障礙的干預實踐提供了一套具有科學驗證的、系統的多領域干預解決方案。
研究受到國家重點研發計劃(2018YFC2000300, 2018YFC2001701, 2020YFC2003000, 2016YFC1305900, 2017YFB1401203)、國家自然科學基金(32071079, 31861133011, 31671157, 31711530157)、中國科學院青年創新促進項目(2020089)、北京市科學技術委員會項目(Z171100008217006, Z171100000117006)及中國科學院心理研究所科學基金(E2CX3715CX)的支持。
研究成果近期在線發表于The American Journal of Geriatric Psychiatry,由李娟研究組的劉笑梅、馬卓婭(共同第一作者)、李娟(通訊作者)及多名研究人員共同完成。
論文信息:
Liu, X., Ma, Z., Zhu, X., Zheng, Z., Li, J., Fu, J., ... & Li, J. (2022). Cognitive benefit of a multidomain intervention for older adults at risk of cognitive decline: a cluster-randomized controlled trial. The American Journal of Geriatric Psychiatry. https://doi.org/10.1016/j.jagp.2022.10.006
附件下載: