心理所合作研究發現人腦的皮層拓撲組織模式支持認知靈活性的腦網絡動態交互模式
人類行為展現出高度的適應性和靈活性。這種行為時而基于變化的環境規則,時而依賴于穩定的長期知識。這兩種認知模式需要不同甚至可能相互競爭的腦部資源。因此,一個關鍵的認知神經科學問題是:大腦如何協調這兩種模式,以支持我們的靈活性行為?
為探索這個問題,中國科學院認知與發展心理學研究室杜憶研究組通過一項合作研究,運用多模態磁共振成像技術,探討了大腦皮層的拓撲組織模式如何影響其動態協作模式,從而促進人腦的靈活性行為。該研究特別聚焦于額頂控制網絡(frontal-parietal control network,FPCN),因為這一網絡在維持大腦靈活性方面發揮著關鍵作用。
前人研究發現,額頂控制網絡FPCN可分為兩個子網絡,FPCN-A和FPCN-B。該研究首先發現,這兩個子網絡在拓撲組織模式上存在系統差異:FPCN-A更靠近感知覺皮層和背側注意網絡(dorsal attention network,DAN),FPCN-B更靠近負責長時記憶的默認網絡(default mode network,DMN)(圖1)。這些拓撲上的差異不僅體現在物理距離上,還表現在解剖層級、功能層級和進化層級上(圖1)。

圖1. 人腦的皮層拓撲組織模式:FPCN-A更靠近感覺運動系統和背側注意網絡;FPCN-B更靠近負責長時記憶的默認網絡。
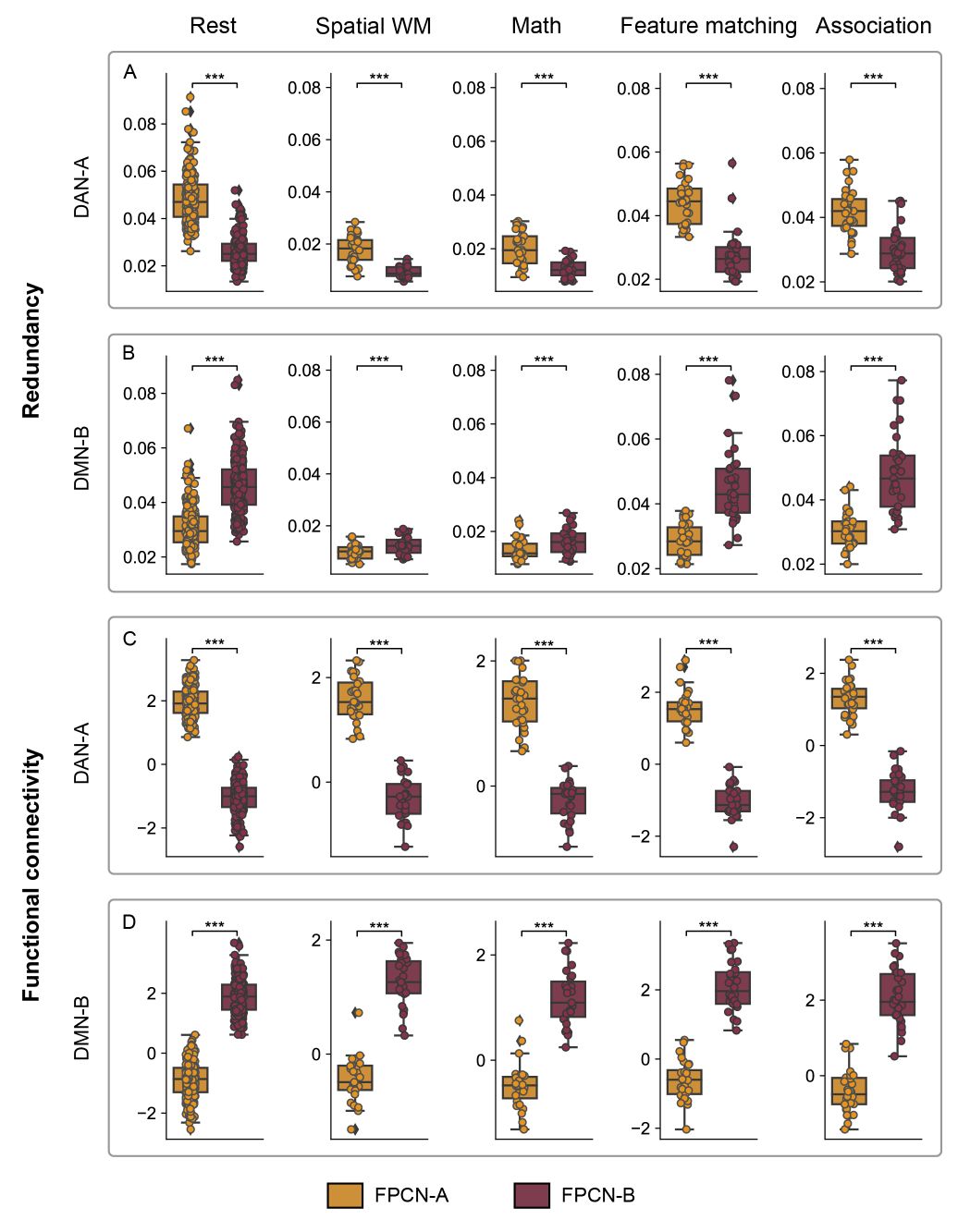
研究還發現,額頂控制網絡的兩個子網絡FPCN-A和FPCN-B在拓撲組織模式上的位置與它們的交互模式相對應。FPCN-A更靠近DAN,也與其有更強的協作關系;FPCN-B更靠近DMN,也與其有更強的協作關系(圖2)。這種協作模式主要體現在三個方面:特征相似性、信息共享和功能連接(圖2)。

圖2. FPCN-A和FPCN-B分別與不同的網絡協作。FPCN-A與DAN共享更多的信息和更強的功能連接;而FPCN-B與DMN共享更多的信息和更強的功能連接。
額頂控制網絡的獨特拓撲結構使其能夠支持多種功能行為模式。例如,當當前任務主要依賴工作記憶時,額頂控制網絡會分成兩個不同的子系統。在這種情況下,FPCN-A與背側注意網絡(DAN)的合作變得更加緊密。相反,如果任務主要依賴長期記憶,額頂控制網絡則表現為一個更加統一的系統,此時FPCN-A和FPCN-B之間的協作增強(圖3)。

圖3. FPCN-A的協作模式受到任務調節。在依賴工作記憶的非語義任務中,FPCN-A與DAN特征更相似,共享更多的信息,有更強的功能連接;而在依賴長時記憶的語義任務中,FPCN-A與FPCN-B有更強的協作。
該研究據此提出并完善了大腦皮層拓撲組織模式如何影響網絡動態協作模式的理論模型(圖4)。在該模型中,FPCN-A和FPCN-B位于背側注意網絡(DAN)和默認模式網絡(DMN)之間,受到這些鄰近網絡的影響。這種位置分布使得額頂控制網絡能夠在支持工作記憶的目標導向注意機制(DAN的作用)與從長期記憶中檢索信息(DMN的功能)之間實現平衡。FPCN-A的特殊位置——位于DAN和FPCN-B之間——使其可以根據任務需求改變其與注意系統或記憶系統的交互方式。在不斷變化的環境中,當外向的注意機制被激活時,FPCN-A更傾向于與DAN而非FPCN-B協作,這有助于FPCN-A更專注于工作記憶任務,避免受到長時記憶的干擾。而當任務依賴長期記憶時,FPCN-A傾向于與FPCN-B合作,這雖減弱了其跟蹤環境變化的能力,但有利于整合DMN提供的信息。該模型解釋了人腦如何平衡具有潛在競爭關系的認知資源,具備了高度的適應性和靈活性。

圖4. 大腦皮層的拓撲組織模式如何使得人腦能夠靈活的根據任務需求調整協作模式的模型。
該研究獲得國家科技創新2030-“腦科學與類腦研究”重大項目(2021ZD0201500),國家自然科學基金(32300881),中國科學院心理研究所自主部署項目(E2CX3625CX) 和心理所青年人才啟動項目(E1CX4725CX)等項目的支持。
心理所助理研究員王秀祎為第一作者;王秀祎和杜憶研究員為共同通訊作者。文章已在線發表于Journal of Neuroscience。
論文信息:?
Wang, X.*, Krieger-Redwood, K., Lyu, B., Lowndes, R., Wu, G., Souter, N. E., ... Du, Y.* & Jefferies, E. (2024). The brain's topographical organization shapes dynamic interaction patterns to support flexible behavior. Journal of Neuroscience.?https://www.jneurosci.org/content/44/22/e2223232024
附件下載: