心理所合作研究揭示團體運動技能學習改善孤獨癥兒童共同注意的神經機制
共同注意(joint attention)受損是孤獨癥譜系障礙(ASD)的重要臨床特征之一,直接影響孤獨癥患者的社會交往能力與溝通水平。為闡明運動干預對孤獨癥兒童共同注意的改善作用及其機制,中國科學院心理研究所魏高峽研究團隊與北京師范大學、揚州大學、南京體育學院的合作者共同開展了一項干預研究。
研究團隊招募了49名4-12歲的孤獨癥兒童,實驗組進行了為期12周以小籃球形式為主的團體互動型運動技能學習,對照組則接受常規護理。本研究除了采用自行研發的適用于孤獨癥兒童共同注意任務外,還采用了眼動追蹤技術和磁共振掃描手段,對所有被試進行了基線水平和12周后的數據采集。結果發現,實驗組兒童在經過運動干預后,共同注意顯著提高,線索首次注視時間也到了顯著改善;同時,上縱束、額枕束、扣帶、鉤狀束等聯絡纖維以及放射冠、內囊、外囊、大腦腳等投射纖維完整性顯著增強。

圖1. 干預后,在FA (A)和MD (B)存在顯著交互作用的白質區域
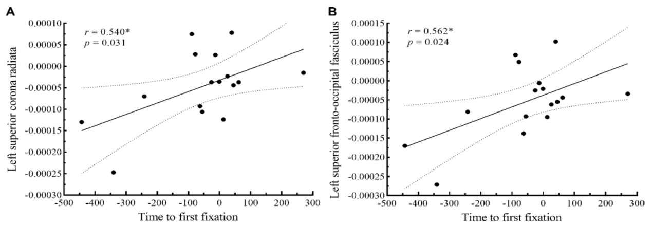
此外,研究結果發現,實驗組兒童所發現的減少的首次注視時間與降低的左側上放射冠和左側上額枕束平均彌散率呈顯著正相關。這表明,籃球運動技能干預有效改善了孤獨癥兒童的共同注意力,其改善機制可能與感覺感知、空間和早期注意功能相關的白質纖維完整性變化有關。

圖2. 實驗組干預前后白質平均彌散率變化值與眼動指數變化值的關系
該研究為孤獨癥兒童的康復治療提供了新的視角,提示團體運動技能學習在改善社會互動和溝通方面具有的重大潛力。此外,該研究成果和方向將為孤獨癥兒童的臨床治療提供極為重要的科學啟示,不僅能為孤獨癥兒童的共同注意等癥狀改善提供了新的干預途徑,也為未來的研究和實踐提供了重要的參考。
該研究獲得科技創新2030(2021ZD0200500)和中國科學院心理研究所揭榜掛帥項目的支持。
文章已在線發表于Journal of Autism and Developmental Disorders。心理所博士研究生蓋力錕為第一作者,心理所魏高峽青年特聘研究員和南京體育學院陳愛國教授為共同通訊作者。
文章信息:
Ge, LK., Man, X., Cai, K. et al. Sharing Our World: Impact of Group Motor Skill Learning on Joint Attention in Children with Autism Spectrum Disorder. J Autism Dev Disord (2024). https://doi.org/10.1007/s10803-024-06528-7
附件下載: