心理所研究揭示:當好評真偽莫辨,高分評價會降低信任與合作
在陌生人互動日益頻繁的現代社會,聲譽機制在合作伙伴選擇中發揮著至關重要的作用。人們往往依據他人的聲譽好壞來判斷其是否值得信賴,并據此決定是否與其合作。聲譽機制之所以能夠有效運作關鍵在于其傳遞的信息能夠真實反映聲譽對象的過往行為。然而,在現實中這一前提卻屢遭挑戰:商家“賄賂”消費者給出5星好評、社交大V花錢買粉、求職者在簡歷中注水夸大……在聲譽信息爆炸式增長、操縱門檻顯著降低的當下,不誠實聲譽提升行為已愈發普遍。在此背景下,一個亟待回答的問題隨之浮現:當人們意識到聲譽系統可能受到不誠實聲譽提升行為干擾時,基于聲譽的信任與合作是否能夠繼續維系?
為了系統回答上述問題,中國科學院心理研究所欒勝華研究組開展了三項研究(N = 643),結合假設情境實驗和行為實驗,涵蓋人際互動、消費決策和經濟博弈等典型場景,考察不誠實聲譽提升線索如何影響基于聲譽的信任與合作。在所有研究中,被試被隨機分配至“基線組”(無不誠實聲譽提升線索)或“提升組”(提示當前聲譽系統可能存在不誠實聲譽提升行為),并先后與不同聲譽水平的對象進行互動。
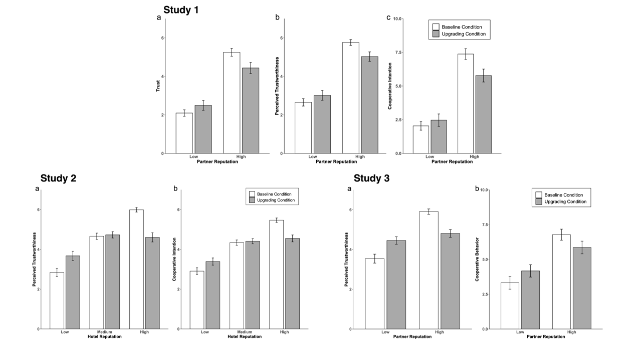
研究結果及內部元分析結果發現:不誠實聲譽提升線索會削弱個體與高聲譽對象的合作意愿與行為,同時促進與低聲譽對象的合作意愿與行為(見圖1)。對高聲譽對象信任與感知可信度降低,對低聲譽對象信任與感知可信度提高是這一結果的關鍵心理機制。

圖1. 三項研究中“基線組”與“提升組”被試對不同聲譽水平對象的信任、感知可信度及合作水平
從進化視角看,這一行為符合“錯誤管理理論”的解釋:在合作決策中,“誤信背叛者”(假陽性錯誤)的代價往往高于“錯失合作者”(假陰性錯誤)。因此,就像原始叢林中動物會對過于艷麗的果實格外警惕一樣,當意識到聲譽系統中可能存在不誠實聲譽提升行為時,人們會適應性地降低與高聲譽對象的合作水平,以規避潛在風險。雖然這種策略能降低誤信背叛者的可能性,但也可能使得真正值得信賴的高聲譽者錯失合作機會。最終,在選擇壓力之下可能導致“劣幣驅逐良幣”,進一步腐蝕基于聲譽的合作機制。
該研究不僅揭示了不誠實聲譽提升線索如何動搖基于聲譽的合作機制,也為數字平臺聲譽系統的設計與治理提供了科學依據。同時,這一發現也側面提示政策制定者,應該提升聲譽系統的透明度和可驗證性,以防止虛假信息干擾基于聲譽的合作行為,從而維持社會的良性運轉。
該研究獲得了中國科學院青年創新促進會人才項目(2023095)和國家自然科學基金項目(32171074)的資助。
研究成果已在線發表于Personality and Social Psychology Bulletin。心理所在讀博士生陳妍妍為第一作者,心理所伍俊輝副研究員和欒勝華研究員為共同通訊作者,心理所博士畢業生李玉剛與吳柏周為共同作者。
論文信息:Chen, Y., Wu, J., Li, Y., Wu, B., & Luan, S. (2025). How do dishonest reputation upgrading cues affect reputation-based cooperation? The roles of trust and perceived trustworthiness. Personality and Social Psychology Bulletin. Advance online publication. https://doi.org/10.1177/01461672251324550
附件下載: