心理所研究發現物質使用障礙患者的成癮行為與精神病理學和人格特質之間的相互關系
心理所研究通過自我決定理論解釋自然如何增強心理幸福感
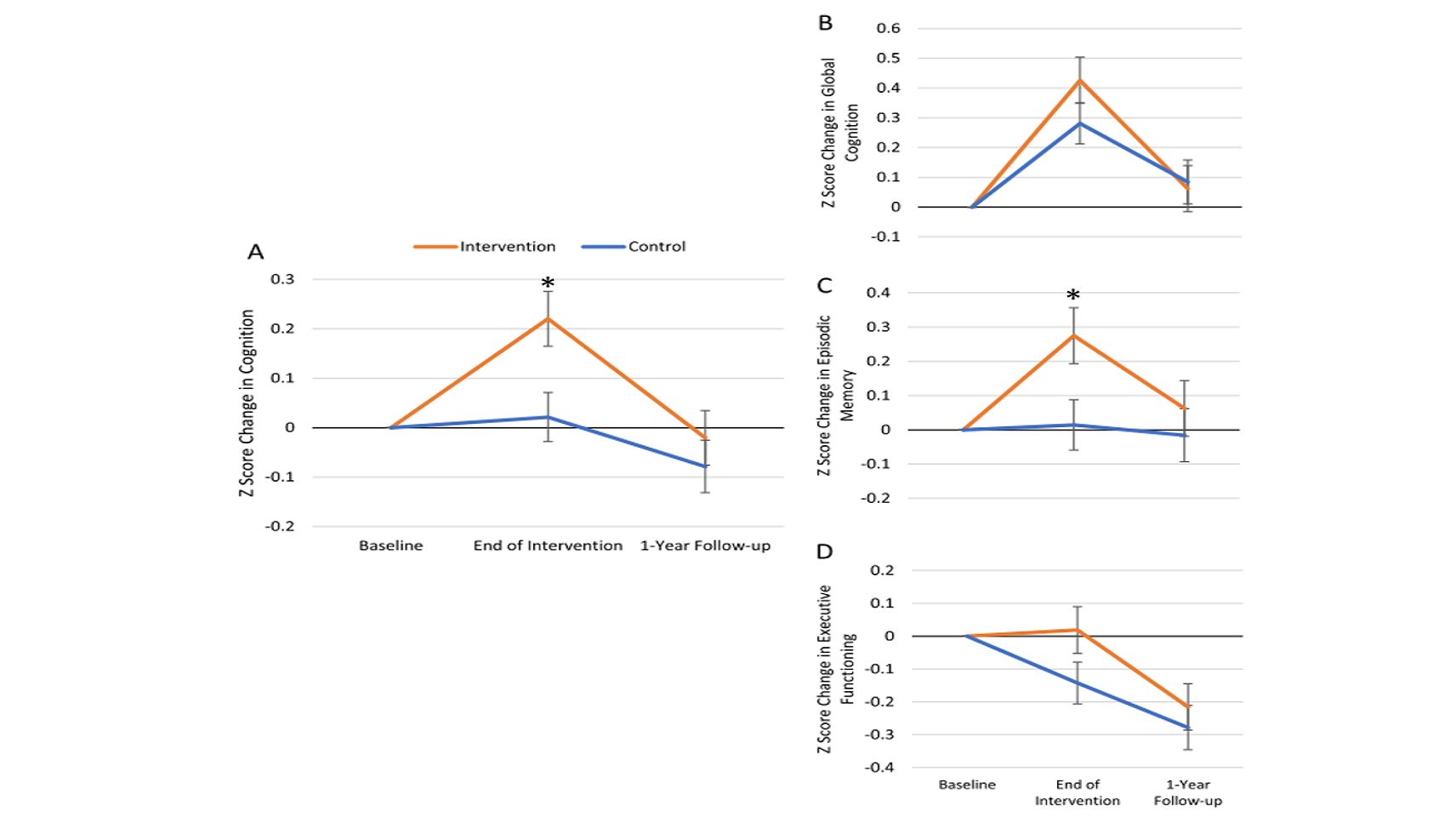
心理所研究發現多領域綜合干預能提升認知障礙高風險老年人的認知功能
心理所研究揭示疼痛分辨力穩定且特異的神經指標
心理所開發Think-Aloud fMRI研究范式并刻畫靜息態自發思維的大腦表征模式
心理所研究揭示藍斑-齒狀回神經通路是促進阿片戒斷記憶消退的潛在調控靶點
心理所研究分析交往焦慮的社交網絡語言表達特征并進行識別建模
心理所研究探討衣冠南渡事件對兩晉士人的心理影響——社會變遷是怎么影響古人心理的?
心理所研究揭示甲基苯丙胺成癮患者伴發反社會人格的發生率和相關因素
心理所研究發現儲存在工作記憶中的注視線索能誘發社會性注意